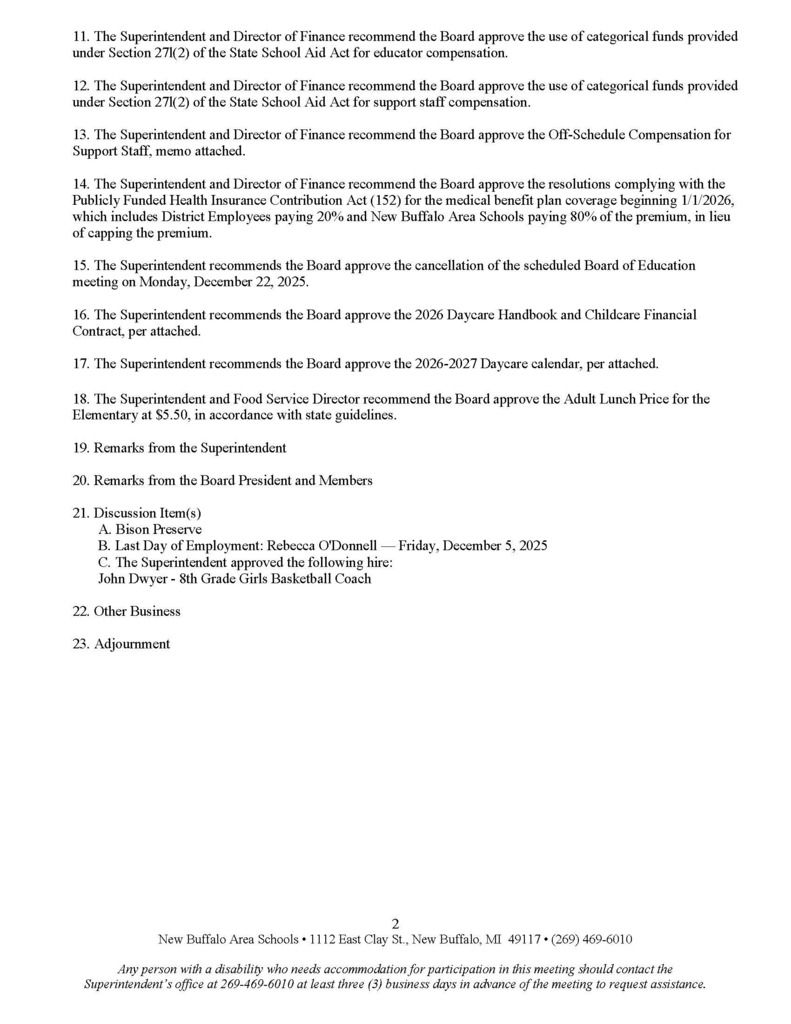
New Buffalo Area Schools Board of Education Meeting, Monday, December 8, 2025, 6:00 p.m. in the PAC


New Buffalo High School World Travel Club Giveback Day! Thursday, December 4, 2025 (Breakfast, Lunch, Dinner) Brewster's New Buffalo.

New Buffalo Area Schools Board of Education Meeting, Monday, November 24, 2025, 6:00 p.m. in the PAC


New Buffalo Area Schools will be closed on Monday, November 10, 2025
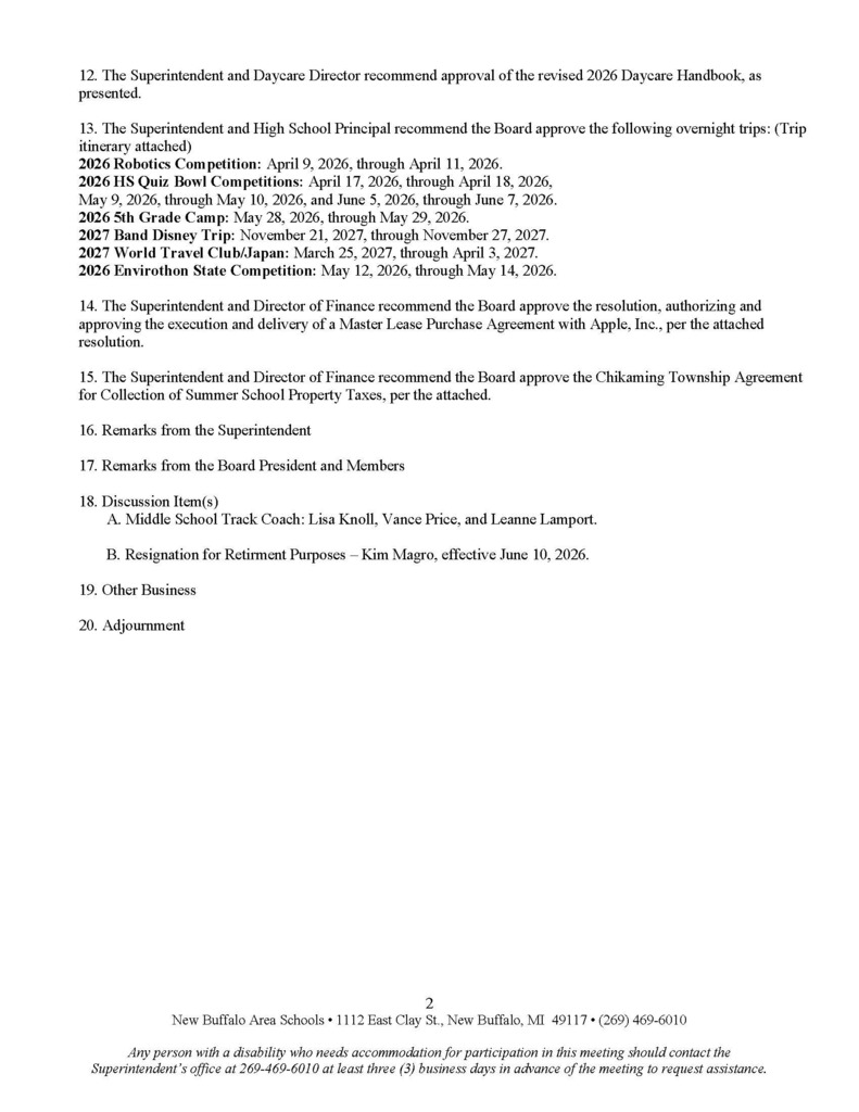
New Buffalo Area Schools Board of Education Meeting, Monday, November 10, 2025, 6:00 p.m. in the PAC


The New Buffalo Area Schools Drama Department is Proud to Present: "WHO'S AFRAID OF THE BIG BAD WOLF" By Tom McCabe.


Fall is in full swing at New Buffalo Area Schools — and there’s plenty to celebrate!
Read our Fall Newsletter update here: https://secure.smore.com/n/4nhfq6

New Buffalo Area Schools Board of Education Meeting, Monday, October 27, 2025, 6:00 p.m. in the PAC


New Buffalo Area Schools Board of Education Meeting, Monday, October 13, 2025, 6:00 p.m. in the PAC


New Buffalo Area Schools Board of Education Meeting, Monday, September 22, 2025, 6:00 p.m. in the PAC


Notice of Canceled Board of Education Meeting: Monday, September 8, 2025.

Dear NBAS Families,
We want to make you aware that Michigan’s statewide free school meals program is currently funded only through September 30. While we are hopeful the state budget will extend it, we are committed to keeping you informed.
In the meantime, we strongly encourage all families to complete the Education Benefits Form. Even if you don’t think you qualify for the program by filling out the form it supports the following:
· Helps determine important school funding and resources
· Supports student access to enrichment programs, counselors, and future free/reduced meals eligibility
· Takes less than 5 minutes to complete
👉 https://newbuffalo.familyportal.cloud/
NBAS will continue to offer free meals through September 30, and we will update families with any changes. Thank you for helping us protect resources for all students.
Warmly,
New Buffalo Area Schools Food Service Team
We want to make you aware that Michigan’s statewide free school meals program is currently funded only through September 30. While we are hopeful the state budget will extend it, we are committed to keeping you informed.
In the meantime, we strongly encourage all families to complete the Education Benefits Form. Even if you don’t think you qualify for the program by filling out the form it supports the following:
· Helps determine important school funding and resources
· Supports student access to enrichment programs, counselors, and future free/reduced meals eligibility
· Takes less than 5 minutes to complete
👉 https://newbuffalo.familyportal.cloud/
NBAS will continue to offer free meals through September 30, and we will update families with any changes. Thank you for helping us protect resources for all students.
Warmly,
New Buffalo Area Schools Food Service Team
New Buffalo Area Schools Board of Education Meeting, Monday, August 25, 2025, 6:00 p.m. in the PAC


New Buffalo Area Schools Board of Education Meeting, Monday, August 11, 2025, 6:00 p.m. in the PAC


New Buffalo Area Schools Board of Education Board Retreat Meeting, Monday, August 11, 2025, after Regular Session Meeting. 9 S. Barton Street, New Buffalo, MI 49117

Dear New Buffalo Families,
I hope this message finds you enjoying a relaxing and fun-filled summer! I’m excited to share updates that have been taking place over the summer in this newsletter update!
Read now at: https://secure.smore.com/n/d1r8p
- Adam Bowen
I hope this message finds you enjoying a relaxing and fun-filled summer! I’m excited to share updates that have been taking place over the summer in this newsletter update!
Read now at: https://secure.smore.com/n/d1r8p
- Adam Bowen

New Buffalo Area Schools Board of Education Meeting, Monday, July 28, 2025, 6:00 p.m. in the PAC


New Buffalo Area Schools Board of Education Meeting, Monday, July 14, 2025, 6:00 p.m. in the PAC


New Buffalo Area Schools Board of Education Meeting, Monday, June 23, 2025, 6:00 p.m. in the PAC


New Buffalo Area Schools Board of Education Meeting, Monday, June 9, 2025, 6:00 p.m. in the PAC


